Kinumpirma ng Land Transportation Office (LTO) na nasa kanilang records ang mga sasakyang nakarehistro sa pangalan ni Ramil L. Madriaga na kabilang ang mga binanggit sa kanyang affidavit na ipinasa sa Kamara, ayon kay House Committee on Public Accounts Chairperson Rep. Terry L. Ridon.
“All vehicles mentioned in the affidavit, as bought and in the name of Mr. Madriaga and son are in the LTO records,” ani Ridon.
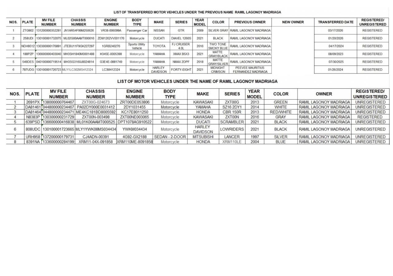
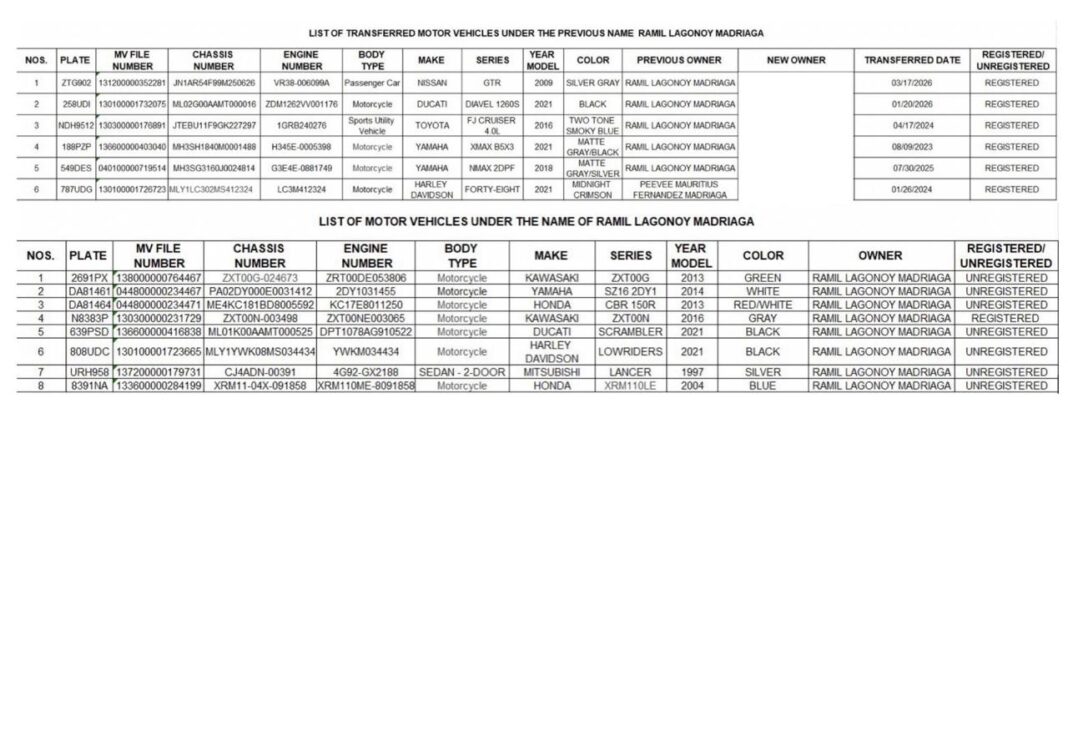
Sinabi rin ng mambabatas na anim na sasakyang dating pag-aari ni Madriaga ang nakarehistro sa LTO, habang pito sa walong iba pang sasakyang kasalukuyang nasa kanyang pangalan ay hindi rehistrado.
Sa kanyang supplemental affidavit, inilahad ni Madriaga na nakatanggap siya ng P25 milyon mula kay dating Pangulong Rodrigo Roa Duterte noong 2021 para sa pagbili ng mga motorsiklo.
Ayon sa kanya, gumastos siya ng P4.5 milyon para sa dalawang 2021 Harley-Davidson motorcycles mula sa isang dealership sa Greenhills, na nakarehistro sa pangalan ng kanyang anak.
Bumili rin umano siya ng dalawang 2021 Ducati motorcycles mula sa isang dealership sa Katipunan, Quezon City, na nagkakahalaga ng P3.5 milyon at P2.3 milyon, kasama ang P500,000 na accessories. Ang mga ito ay nakarehistro sa kanyang pangalan.
Dagdag pa ni Madriaga, bumili rin siya ng pitong Yamaha NMAX motorcycles para sa operasyon ng Inday Sara Duterte Is My President (ISIP) Pilipinas, na ayon sa kanya ay binayaran nang cash.
Sinabi rin ni Madriaga na ang natitirang bahagi ng P25 milyon ay ipinamahagi sa mga miyembro ng ISIP Pilipinas.
Bukod dito, kinumpirma rin ng LTO na nasa kanilang records ang isang Toyota FJ Cruiser na nakapangalan kay Madriaga, ayon kay Ridon.
Sa affidavit, sinabi ni Madriaga na ginamit ang nasabing sasakyan sa pagkuha at paghahatid ng mga duffel bag na umano’y naglalaman ng confidential funds noong Disyembre 2022. Kabilang sa mga binanggit na destinasyon ay ang parking lot ng Office of the Ombudsman, isang lugar sa San Pablo, Laguna, at isang comedy bar sa Quezon City. /Bistado


